原文标题:Policy uncertainty reduces green innovation
原文作者:Mengyu Wang , Hong Z., Jeffrey Wurgle
发表期刊:Journal of Financial Economics
关键词:研发、企业投资、不可逆投资、环境经济学、政策不确定性、气候金融
一、摘要
政策不确定性可能削弱政府补贴在激励环境友好型研发活动方面的有效性。本文发现,随着环境补贴不确定性的上升,中国企业的绿色研发投入显著下降。具体而言,外生的、由天气驱动的空气污染波动会引致环境补贴的频繁变动,而在这种由天气因素所造成的补贴高度波动地区,企业在控制补贴平均水平后,表现出更低的绿色研发投入,并减少了技术类员工的雇佣。进一步分析表明,高排放企业和环境技术相关企业对上述政策不确定性冲击更为敏感。本文的研究结果还揭示了一种政策不确定性的生成机制:当政策制定者受到显著但成因难以清晰辨识的现实状况影响时,政策不确定性可能由此产生。
二、研究背景
在全球气候变化和绿色转型背景下,政府补贴被广泛视为推动企业绿色技术创新和环境友好型投资的重要政策工具。既有研究普遍认为,环境补贴能够通过降低研发成本、缓解融资约束、提高绿色项目的预期收益,从而有效促进企业绿色研发活动。然而,这一政策逻辑隐含了一个关键前提:补贴政策本身具有相对稳定性和可预期性。如果补贴政策在执行过程中频繁调整、缺乏连续性,企业是否仍然愿意进行高不可逆性的绿色研发投入,仍有待系统检验。与此同时,政策不确定性已成为宏观经济学、公司金融与投资理论中的核心议题。大量文献表明,不确定性上升会通过“观望效应”(wait-and-see)、风险溢价上升以及融资约束加剧等机制,显著抑制企业投资与创新活动。然而,现有政策不确定性研究主要聚焦于财政政策、货币政策、贸易政策或政治冲突等宏观维度,对于绿色政策与气候相关补贴的不确定性关注不足,尤其缺乏对其微观创新行为影响的严谨实证分析。在这一背景下,本文提出一个关键但长期被忽视的问题:环境补贴的不确定性是否会削弱其原本旨在促进绿色创新的政策效果?如果答案是肯定的,那么即便补贴水平本身较高,其激励效应也可能被政策波动所抵消,甚至产生反向影响。
三、研究问题
围绕上述动机,本文系统聚焦以下几个相互关联的研究问题。
第一,环境补贴政策是否在现实中存在显著的不确定性,其来源是什么?不同于传统将政策不确定性视为政治博弈或制度冲突结果的研究路径,本文关注一个更具现实感的机制:政策制定者在面对空气污染这一高度显性的社会问题时,往往依赖空气质量指数(AQI)等观测指标进行政策响应,而这些指标本身却受到天气因素(如风力、降雨)的显著影响。这一机制是否会在无意中将天气波动转化为补贴政策的时间序列波动,是本文首先要回答的问题。
第二,这种由外生天气因素引致的补贴不确定性,是否会对企业绿色研发投入产生因果性影响?绿色研发通常具有投入规模大、回收周期长、不可逆性强等特征,对政策稳定性的依赖程度高于一般投资。本文由此提出:即便补贴的平均水平不变,补贴发放的不确定性上升本身,也可能通过强化企业的风险厌恶和观望动机,从而抑制绿色研发活动。
第三,补贴不确定性的影响是否具有显著的企业异质性?本文进一步关注哪些企业更容易受到这一不确定性冲击,重点考察补贴依赖度较高的企业、高污染行业企业以及融资约束较强的企业是否表现出更强烈的负向反应,从而为理论机制提供更具针对性的证据。本文不仅将政策不确定性研究拓展至绿色创新与气候金融领域,也提出了一种不同于传统政治冲击视角的政策不确定性生成机制。由此,本文的研究问题不仅关乎“补贴是否有效”,更指向一个更深层次的问题:在绿色转型过程中,政策稳定性本身是否是一种与补贴规模同等重要的制度性资源。
四、制度背景与理论分析
(一)中国的环境补贴
环境补贴主要分为两类形式:一是直接补贴投资成本,通常覆盖项目总投资的20%至30%,单个项目补贴上限为1500万元人民币;二是价格补贴,主要用于推广新能源产品,通过政府事后返款方式间接支持企业。
理解补贴分配机制需了解中国的环境政策制定与执行遵循自上而下的三级体系。典型流程是,中央政府首先在五年规划或专项法规中陈述环境目标,并常明确指定国家、省或市级的空气质量指数目标。之后,省级及下级政府启动各自的五年规划和地方政策,其实施常涉及环境补贴。《环境保护法》授权上级政府监督并必要时惩罚下级官员。此过程为补贴分配带来了显著不确定性。
这种不确定性不仅源于五年规划本身的定义,也来自临时政策转变,例如在线附录描述的“煤改气”政策因导致气荒而被逆转。企业层面数据,如山东鲁抗医药股份有限公司和紫金矿业集团股份有限公司在2008至2018年间环境补贴金额的剧烈波动,具体展示了政策给企业补贴流引入的不确定性。总之,中国因其严重的空气污染问题和涉及显著补贴支持不确定性的政策环境,为本研究提供了一个丰富的研究场景。
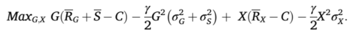
(二)简单理论模型与预测
为了理解补贴不确定性如何影响投资,论文构建了一个简化模型,假设企业在两种技术中进行选择。效用函数设计如下:

绿色技术(G):需要绿色研发投入,并获得不确定的补贴(S)。
传统技术(X):传统的研发或资本支出。
企业的决策目标是最大化期望效用,该效用函数包含风险厌恶项(参数γ表示),这可以被理解为投资的不可逆性、调整成本或管理者风险规避等因素。
模型得到四个核心推论。
H1:补贴政策不确定性负面影响绿色研发的水平和份额。更高的补贴波动性会降低企业对绿色技术的投资。
H2:平均补贴水平S正面影响绿色研发的水平和份额。平均补贴的提高会刺激绿色投资。
H3:补贴依赖度(即绿色研发占总投资的比例)越高,政策不确定性对绿色研发份额的影响越强。越依赖补贴的企业,受补贴波动性的影响越大。
H4:更高的借贷成本C(即财务压力更大)会增加绿色研发的份额,并加剧政策不确定性的影响。财务紧张的企业可能更愿意通过补贴来缓解压力,但同时也更容易受到补贴波动的影响。
五、研究设计
(一)数据来源
企业数据:2007-2019年中国A股上市公司的财务与研发数据(CSMAR)、绿色专利数据(CNRDS)。环境数据:城市层面的空气质量指数(AQI)和PM2.5数据。气象数据:高频、细颗粒度的气象数据(风速、风向、温度等)用于构建工具变量。
核心因变量Green R&D采用城市层面环境相关研发投入总额的对数值,样本期内年均约4.865亿元人民币。核心政策变量Green Subsidy是城市层面环境补贴总额的对数值,年均约5150万元人民币。
此外,工业废气处理支出数据来自EPSnet数据库,用于验证政策对空气质量的关注。空气质量数据来自中国生态环境部发布的日度AQI读数,年度均值计算为城市年份内日度AQI的平均值。天气数据由中国气象局提供,其中大风日数指年度内风速超过5.5米秒的天数,降雨日数指年度内日降雨量超过25毫米的天数,其波动性通过过去六年的标准差衡量。城市层面控制变量如消费、GDP等来自CNRDS数据库,企业层面特征如资产周转率、杠杆率等来自Wind、CSMAR和CNRDS数据库。最终样本为2003至2019年间覆盖352个城市、3168家上市公司的非平衡图数据,但因新冠疫情影响,主分析实际使用2009至2019年子样本。
表1展示了主要变量的描述性统计结果。该表涵盖了政策变量、绿色投资变量、天气与污染变量、城市特征以及城市企业特征资产加权平均值等多个板块。所有变量基本都在城市-年度层面定义,在2009年至2019年新冠疫情前的不平衡面板中最多涵盖352个城市,该样本也是政策不确定性与绿色投资主要分析所使用的样本。用于构建天气波动变量的标准差指标使用了可回溯至2003年的天气数据进行计算。表中列出了每个变量的观测值数量、均值、标准差以及第5、第25、第50、第75和第95百分位数的数值,全面呈现了样本数据的分布特征。

(二)模型建立
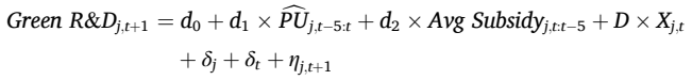
核心解释变量(政策不确定性,PU):采用企业获得的政府环境补贴的波动率衡量。具体做法是估算补贴的一阶自回归模型,取其残差的标准差。模型设计如下:


被解释变量(绿色创新):投入端为绿色研发支出和绿色技术员工数量;产出端为绿色专利申请量。模型设计如下:

本文采用Fama-MacBeth(1973)横截面回归方法,以城市-年份层面数据检验绿色补贴的决定因素,回归方程设定为:

六、实证结果
(一)污染与补贴水平
模型一仅包含城市特征,结果显示更富裕的城市获得的环境补贴显著更多。模型二在控制城市特征的基础上加入空气质量指数,结果显示上一年度空气质量较差的城市在下一年度获得的平均环境补贴水平显著更高。模型三和模型四进一步控制了城市层面的企业特征,结果表明空气质量指数对绿色补贴的正向影响依然稳健存在。这些发现证实了之前基于自上而下目标体系的讨论,即补贴的分配与近期的空气质量指数读数密切相关。
为了进一步确认这一关系,研究还考察了另一个政府主导的环境项目——城市级工业废气治理支出。表2模型五和模型六的结果显示,当以工业废气治理支出作为因变量时,空气质量指数同样表现出显著的正向影响。

(二)天气对AQI的影响
图1的内容揭示了天气波动如何作为“噪音”干扰空气质量评估的机制:风速和降雨的短期变化显著影响AQI读数,尽管本地排放源稳定。这直观说明了政策制定者若依据此类受天气干扰的显著指标进行补贴决策,可能无意中引入非预期的不确定性。

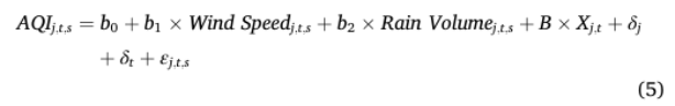
为验证天气是影响AQI的外生因素,本文构建简单回归方程:

其中因变量为城市j第t年季节s(供暖季或非供暖季)的日均AQI,核心自变量为同期日均风速与降雨量,控制变量Xj,t含城市特征(消费、GDP、GDP增长率、人口增长率),同时加入城市与年份固定效应,标准误聚类于城市与年份;考虑到北方城市供暖季(11月至次年3月)燃煤对污染的影响,还单独对秦岭-淮河以北城市进行检验,非供暖季为4月至10月,样本覆盖2003-2018年352个城市。
表3展示了天气对AQI的影响,其中第一列和第二列分别报告了全样本城市在供暖季和非供暖季的估计结果,第三列和第四列聚焦于秦岭淮河以北的北方城市。所有模型均显示风速和降雨量对AQI存在显著负向影响,且在供暖季效应更强,证实天气确实通过物理机制影响污染读数。

(三)天气作为政策不确定性的工具
政策不确定性与绿色投资存在内生性,Akey等(2023)强调需外生识别,本文创新以天气波动为工具变量。地方官僚可能受行为偏差影响,将天气驱动的AQI变化归因于企业排放,导致补贴波动(如2010年北京AQI达562后,次年企业环境补贴增78%)。首先定义政策不确定性为城市层面特征调整后的环境补贴在六年滚动窗口内的标准差。工具变量为城市j过去六年(t-6至t-1年)大风日数标准差(SD Windy Days)与降雨日数标准差(SD Rainy Days),采用一年滞后是因天气影响同期AQI、AQI影响下一年政策,与前文“AQI滞后一期影响补贴”的时序一致,且稳健性检验表明时序设定不关键。第一阶段回归以该政策不确定性为因变量,核心自变量为滞后一期的大风日数和降雨日数的历史波动性,同时控制城市宏观经济特征和城市、时间固定效应。表4展示了第一阶段回归结果,其中第二列结果显示大风日数和降雨日数的波动性均显著为正,表明天气变异确实传导至政策不确定性。工具变量强度检验的F统计量大于10,满足相关性要求。最终得到的政策不确定性预测值作为第二阶段的关键自变量。
第二阶段回归检验外生政策不确定性对绿色研发的影响,因变量为城市j第t+1年绿色研发投入(Green R&D,城市层面企业绿色研发支出总额的对数值)核心自变量为第一阶段构建的工具变量PUj,t-5:t,同时控制城市j过去六年平均绿色补贴(Avg Green Subsidyj,t-5:t,经特征调整后的补贴移动平均值)及城市特征、城市与年份固定效应。表4展示了第二阶段回归结果,其中第三列结果显示政策不确定性对绿色研发投入有显著负向影响。表4第四列和第五列在第三列基础上加入了平均补贴水平等控制,结果保持稳健。核心结论表明,由天气波动引致的政策不确定性显著抑制了城市层面的绿色研发活动,而补贴平均水平则显著促进绿色研发,二者形成方向相反的抵消效应。

(四)稳健性检验
表5展示了稳健性检验结果,其中第一列样本排除了绿色研发为零的城市观测,第二列采用两年平均AQI重新计算,第三列控制天气调整后的AQI波动性,第四列使用更严格的补贴调整方法,第五列限制样本为2013年后数据。此外,表5第六列将因变量替换为非绿色研发支出,第七列和第八列分别检验对固定资产投资和房地产企业投资的影响。所有稳健性检验均证实,天气驱动的政策不确定性对绿色研发的负向效应具有特异性,不影响其他类型投资,支持了因果识别的有效性。

(五)异质性影响
表6考察了政策不确定性在企业层面的异质性影响。结果显示,政策不确定性的负面影响在绿色科技企业、补贴依赖度高的企业、制造业、化学工业、金属行业和公共设施管理行业的企业中显著更强。而企业规模、国有属性和注册地与总部所在地不同等因素并未显著改变政策不确定性的影响。这些发现与理论模型的预测一致,表明政策不确定性对那些最直接依赖环境补贴的企业影响最大。

表7展示了绿色技术企业子样本中财务约束的调节作用,引入了过度负债和利息覆盖率与政策不确定性的三重交互项,结果显示财务压力加剧了政策不确定性对绿色技术企业研发的抑制作用。

(六)绿色研发就业
表8展示了政策不确定性对绿色研发就业的影响,其中第一列结果显示政策不确定性对绿色研发就业有显著负向影响。表8第二列和第三列在第一列基础上加入平均补贴水平后结果保持稳健。结论表明,政策不确定性不仅减少了绿色研发的资金投入,也显著降低了相关技术岗位的雇佣规模,进一步验证了政策不确定性对绿色创新活动的实际抑制作用。

七、结论与政策建议
本文从政策不确定性的视角,系统考察了环境补贴政策对企业绿色创新行为的影响,拓展了政策不确定性研究在绿色创新与气候金融领域的应用。研究发现,尽管环境补贴在平均意义上能够促进企业绿色研发投入,但当补贴政策本身呈现出较强的不确定性时,其原有的激励效果将被显著削弱。具体而言,由天气因素引致的空气污染波动,会通过影响补贴分配过程,带来环境补贴的时间序列波动,而这种补贴不确定性在控制补贴平均水平后,仍会显著降低企业的绿色研发投入,并抑制与绿色技术相关的技术人员雇佣。这一结果表明,政策不确定性不仅影响金融变量或预期层面,也会对企业层面的真实经济活动产生实质性影响。
进一步的分析显示,补贴不确定性的负面影响在不同企业之间具有明显的异质性。对环境补贴依赖程度较高的企业、环境技术导向较强的企业以及面临较大财务压力的企业,对补贴不确定性的反应更为敏感。这一发现与本文的理论分析一致:对于那些原本需要通过补贴弥补市场失灵、以支持高风险、不可逆绿色研发活动的企业而言,补贴不确定性会显著加剧其投资决策中的风险权衡,从而放大“观望效应”,抑制绿色创新投入。因此,政策不确定性并非对所有企业均匀作用,而是集中影响了政策原本意在重点扶持的企业群体,从而在一定程度上削弱了环境补贴政策的整体效果。
在机制层面,本文的重要启示在于揭示了一种不同于传统政治冲击视角的政策不确定性来源。研究表明,政策不确定性并不必然源于制度变革或政治博弈,也可能内生于政策制定者对显著现实问题的响应过程。在本文的研究背景下,空气污染作为一个高度可观测、社会关注度极高的指标,容易成为政策制定的重要依据。然而,空气质量指标本身受到天气等外生因素的显著影响,当政策制定者未能充分区分短期、外生波动与结构性环境问题时,补贴政策可能会对这些“噪声性”变化作出反应,从而在补贴分配上形成额外的不确定性。这一发现强调,政策不确定性可能是在试图“积极回应问题”的过程中被无意制造出来的,而非完全来自外部冲击。
基于上述结论,本文所能直接引申出的政策启示主要体现在以下几个方面。首先,如果环境补贴政策的目标在于推动企业开展绿色研发并促进相关技术就业,那么有必要正视一个事实:补贴政策的不确定性本身可能与政策目标相悖。即便补贴规模在长期内保持较高水平,补贴发放过程中的不稳定性仍可能削弱企业的绿色创新激励。其次,补贴不确定性的影响具有显著的企业异质性特征,在评估政策效果时,仅关注平均意义上的激励作用可能并不充分,更需要关注政策波动对关键企业群体所产生的差异化影响。再次,本文的结果提示,在以环境指标为导向的政策框架下,应谨慎对待观测指标中包含的外生波动成分,否则可能在无意中通过政策反应机制引入额外的不确定性。
总体而言,本文表明,政策不确定性是理解绿色补贴政策效果时不可忽视的一个重要维度。环境补贴不仅是一种资源配置工具,其实施方式和稳定性本身也会深刻影响企业的绿色创新决策。本文的研究为理解绿色政策如何通过影响企业真实经济行为发挥作用提供了新的经验证据,并为后续围绕绿色投资与政策环境关系的研究奠定了基础。
作者:
冯钰媛 中央财经大学金融学院硕博连读生
指导老师:
王 遥 中央财经大学绿色金融国际研究院院长