随着“双碳”目标的提出,推进碳减排工作越发刻不容缓。高碳排产业的减碳工作更是国家减排任务的重中之重,为此,政府有关部门推出了一系列政策,自上而下推动碳减排工作。2011年,国家发改委办公厅印发关于开展碳排放权交易试点工作的通知,于北京市、天津市、上海市、重庆市、湖北省、广东省及深圳市七地开展碳排放权交易试点,以引导市场机制发挥作用,降低碳排放量。本文立足于碳排放权交易试点政策,以试点地区为处理组,其他地区为控制组,利用经典DID模型,分析该政策的碳减排效益。结果显示,碳排放权交易政策可以显著降低试点地区的二氧化碳排放量和碳强度。
一、研究背景
(一)气候变化已成全球性危机
当前,气候变化引起的风险已成为重大全球性挑战。2022年初,世界经济论坛(WEF)发布的《全球风险报告2022》指出,环境风险是对人类和地球最具潜在破坏性的威胁,其中,气候行动失败、极端天气事件频发以及生态系统崩溃和生物多样性丧失是全球十大风险中的前三名。气候变化已成为威胁人类可持续发展的世界性危机,受到世界各国的高度重视。在此形势下,我国提出“双碳”目标,对各行各业的转型升级和绿色低碳发展提出了新的要求。
(二)碳交易是实现“双碳”目标的重要手段
为应对气候变化危机,美国经济学家Dales提出排污权交易概念,即政府将碳排放权按一定规则分配给企业,企业根据自身碳排放需求进行交易,实现资源配置的帕累托最优。由于单一行政命令方式存在易造成效率损失等局限性,以碳交易为代表的市场机制逐步成为全球广泛采取的手段。顺应国际趋势和内部发展需求,国家发改委于2011年发布了《关于开展碳排放权交易试点工作的通知》批准上海、北京、广东、深圳、天津、湖北、重庆等七省市开展碳排放交易权试点,并于2013年正式启动碳交易试点。
本文研究的问题是碳交易试点政策的实施是否降低了试点省份的二氧化碳排放量(CO2)和碳强度(CQD)。这一问题的回答对于完成中国既定的碳减排目标及应对全球气候变化危机具有重要的理论和现实意义。
二、研究方法与数据说明
(一)模型设定
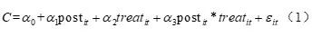
本文采用双重差分模型(DID)研究碳排放权交易试点政策的碳减排效益,其核心思想是通过引入虚拟变量将实验对象分为处理组和控制组,做两次差分,得出政策的净效应。与传统政策效应评估方法相比,DID模型可以在很大程度上避免内生性问题,而且通过设置政策是否发生的虚拟变量可以使得估计更加科学、准确。本文模型设定两个被解释变量二氧化碳排放量(CO2)和碳强度(CQD)。在处理组和实验组选取中,基于保证碳排放测算口径一致和数据的可得性,以碳排放权交易试点地区北京市、天津市、上海市、重庆市、湖北省、广东省(深圳市属于广东省,相关统计数据包含在广东省数据中)6个省级行政区为处理组,我国其他24个省级行政区(除西藏、港澳台地区)为实验组。就政策实施时间而言,虽然早在2011年国家发改委办公厅已印发《关于开展碳排放权交易试点工作的通知》,但直到2013年各试点地区碳市场才开始陆续上线交易,所以本文设定2009-2013年为政策实施前,2013-2016年为政策实施后,建立传统DID模型:

在(1)式中,C为任意的被解释变量;i和t分别表示第i省和第t年;α1表示时间对处理组和控制组的影响系数;α2表示地区对处理组和控制组的影响系数;α3表示时间和地区对处理组和控制组的交互影响系数即政策的净效应。变量post为时间虚拟变量,在2013年以前赋值为0,2013年及其以后赋值为1;变量treat是地区虚拟变量,处理组赋值为1,控制组赋值为0;post*treat为时间虚拟变量和地区虚拟变量的交乘项,εit为随机干扰项。

为控制其他因素的影响,本文加入时间个体双向固定效应去掉单独变量并引入控制变量,建立经典DID模型

以(2)、(3)式中,μi、δi为个体固定效应,λi、γi为时间固定效应,能源利用率(EE)、人均国内生产总值(PGDP)、 产业结构(IS)、城市化水平(UR)为引入的控制变量。
(二)数据说明
在结合以往文献的基础上,本文基于数据可得性、一致性和准确性原则,选取样本数据时间为2009年至2016年,样本空间为我国30个省级行政区(剔除数据不完整的西藏、港澳台地区),被解释变量选取二氧化碳排放量和碳强度。二氧化碳排放量(CO2)采用IPCC核算法计算,数据来自中国碳核算数据库(CEADs);碳强度(CQD)用二氧化碳排放量与2009年为基期的实际GDP的比值来表示。控制变量选取能源利用率(EE)、人均国内生产总值(PGDP)、产业结构(IS)和城市化水平(UR)的量化指标。能源利用率用能源消费量与以2009年为基期的实际GDP的比重来表示,数据来源于EPS数据库和中国能源统计年鉴;人均国内生产总值来源EPS数据库;产业结构用第二产业与第三产业产值的比值来表示,数据来源于中国统计年鉴;城市化水平用城镇人口与常住人口的比值来表示,数据来源于EPS数据库。为减少异方差的影响,本文对所有的非虚拟变量都进行了对数化处理,变量的描述性统计分析如表2所示:
三、实证结果及分析
(一)平行趋势检验
DID模型的重要假设前提是平行趋势假定,即处理组和控制组在受到政策冲击之前是满足平稳趋势的,做平行趋势检验,结果如下图所示

图1 基于二氧化碳排放量的平行趋势检验
图1表明处理组和控制组在政策实施之前没有显著差异,政策发生后对二氧化碳排放量具有负向影响,且政策当期就发挥效用。

图2 基于碳强度的平行趋势检验
图2表明处理组和控制组在政策实施之前没有显著差异,政策发生后对碳强度具有负向影响,且政策当期就发挥效用。
(二)主回归结果分析

从交互项的系数来看,在5%的显著性水平下,被解释变量二氧化碳排放量和碳强度均显著为负,说明碳交易试点政策的实行可以有效降低二氧化碳排放量和碳强度,而且对碳强度的效应比对二氧化碳的效应更加显著。从控制变量来看,能源利用率与二氧化碳排放量显著负相关,这表明随着能源利用效率的提高,二氧化碳的会逐渐降低;人均GDP与二氧化碳排放量显著正相关,表明随着人均GDP的增加,二氧化碳的排放量会增加;产业结构与二氧化碳排放量显著负相关,这表明我国第二产业正处于积极转型期,由高碳行业向低碳行业转型。
(三)安慰剂检验
常见的安慰剂检验方法有改变政策发生时间、随机生成实验组、替换样本和替换变量四种方法,本文采用第一种方法,将样本区间设定为政策未施行的2009年至2012年,并将2010年作为假想的政策实施年份并进行回归,结果如下表所示:

由表4可知,改变政策发生时间以后,虚拟变量的交互项不再显著,这说明去除碳试点政策的冲击后,处理组和控制组省份碳排放变动趋势是不存在系统性差异的。
四、结论
根据实证分析结果,本文研究发现碳排交易试点政策可以显著降低试点地区的二氧化碳排放量和碳强度,对碳排放强度的负面效应更强,且影响随时间增长愈发显著,这说明碳交易试点政策减碳效应较好,值得在全国范围内推广。此外,本文通过控制变量分析,探究各因素对碳排放的影响效应:
第一,能源利用率对碳排放的负向效应最明显,能源利用率越高,碳排放量和碳排放强度越低,这说明提高能源利用效率应当是我国碳减排布局的“重中之重”。
第二,人均GDP对碳排放具有显著的正向效应,随着经济水平提高,碳排放量不断增加,这说明我国经济发展是以环境为代价的,从短期看取得了经济利益,但从长期看造成了资源的损耗和生态系统的破坏,阻碍了社会可持续发展。
五、建议
(一)扩大碳交易市场试点范围,以市场机制促进节能减排
在实施层面,政府可以采取财政政策与市场机制协同推进的策略。一方面,通过碳税政策发挥政府宏观调控作用,利用税收强制性和见效快的特点,起到碳价支撑的作用。另一方面,利用碳交易机制激发市场活性,调动企业减排积极性和主动性,起到碳价调节的作用。
(二)积极推进低碳技术创新,持续提高能源利用效率水平
首先,企业应当积极推进低碳科技创新,通过改进工业技术,更新工厂设备等方式,从源头提高企业利用能源的能力。此外,企业应当提升自身运营效率,减少生产经营过程中的能源浪费,实现能源利用的效益最大化。双管齐下,以提升能源利用效率为导向,加快推动企业绿色高质量发展。
(三)统筹经济增长与环境保护,推动经济发展方式绿色转型
根据EKC曲线,经济增长与环境恶化呈“倒U型”曲线关系。因此,我国可以通过提高经济发展质量的方式来降低碳排放。具体而言,我国应由粗放型增长方式向集约型经济增长方式转变,能源结构由以煤炭为主向风能、潮汐能、氢能等新能源方向发展。同时,加快转变经济发展方式,促使经济增长由主要依靠投资、出口拉动向依靠消费、投资、出口协调拉动转变,抓住国内统一大市场建立的契机提升竞争力,加快形成以国内大循环为主体、国内国际双循环相互促进的新发展格局。
本文以中国碳交易试点政策为准自然实验,基于中国30个省市数据,运用双重差分估计,实证研究了碳交易试点政策对中国低碳经济转型的积极影响。因此,碳交易试点政策值得在全国大力推进。不过,在建设全国交易市场时应注重政策设计的公平性,充分考虑各地区的经济发展水平和自然禀赋情况,保障碳交易市场机制的顺利运转。
参考文献
[1]曹翔,高瑀.低碳城市试点政策推动了城市居民绿色生活方式形成吗?[J].中国人口·资源与环境,2021,31(12):93-103.
[2]任亚运,程芳芳,傅京燕.中国低碳试点政策实施效果评估[J].环境经济研究,2020,5(01):21-35.
[3]赵爽,陈儒,姜志德.低碳试点政策对农业碳排放影响的实证研究——基于双重差分模型的检验[J].生态经济,2018,34(12):22-28.
[4]范丹,王维国,梁佩凤.中国碳排放交易权机制的政策效果分析——基于双重差分模型的估计[J].中国环境科学,2017,37(06):2383-2392.
[5]徐琬莹,周传斌,陈永根,王如松.农村户用沼气项目的碳减排效益核算——以湖北省恩施州为例[J].生态与农村环境学报,2013,29(04):449-453.
[6]Dales J H. Land, water, and ownership[J]. The Canadian Journal of Economics/Revue canadienne d'Economique, 1968, 1(4): 791-804.
作者:
胡雅琳 中央财经大学绿色金融国际研究院研究员、长三角绿色价值投资研究院研究员
贾宇浩 中央财经大学绿色金融国际研究院科研助理
朱一木 中央财经大学绿色金融国际研究院研究员、长三角绿色价值投资研究院研究员